学风建设 | 品读文学,书香共享 (十七)

作者: 时间:2022-10-19 点击数:

作品展示

优美的文笔让人流连,美好的故事引人遐想。pg游戏电子模拟器开展了“品读文学,书香共赏”活动,为优秀的作品提供平台,让飞扬的文采得以挂靠。食髓知味,落笔成文,这里是放飞思绪的一方天地,这里是共话文学的青春殿堂,我们怀言引玉,我们邀你共赏。

2022级网络与新媒体二班张嘉莉

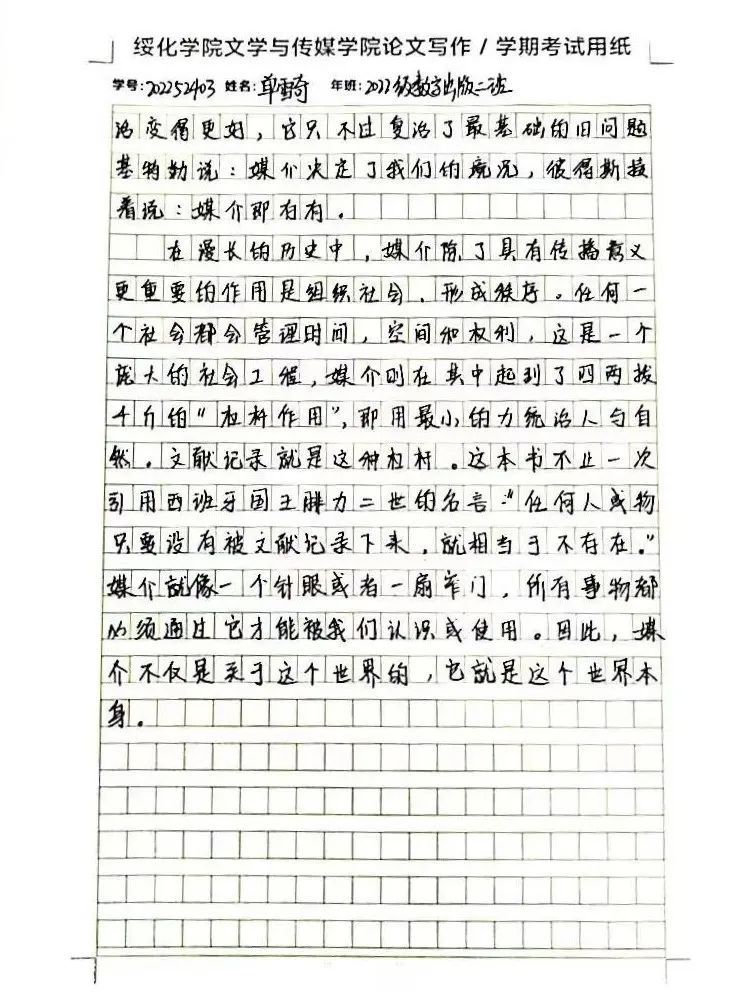
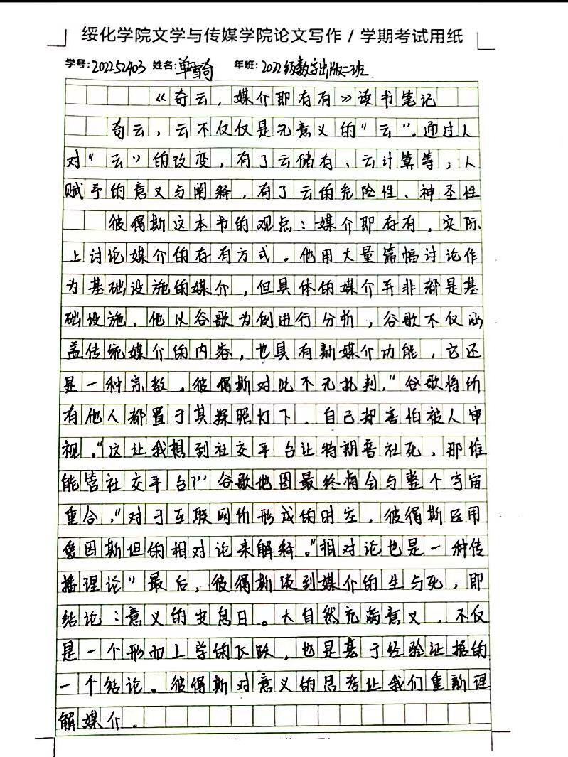
2022级数字出版二班单雪奇

2022级汉语言文学二班吴晓婷

语言

是打开与世界沟通的窗户

带给我们别样的风景

文字

是抒发感怀的声声呐喊

抵过长风 化作春雨

终让我们怀着同一份热爱

看见每一个值得被看见的你

版权所有:pg电子(中国模拟器)官方网站 院长信箱:gaowenli001@126.com   电话:0455-8301205